我室提出植被校正地表温度获取全新世气温的方法框架
绝大多数地质材料(如黄土)主要记录的是陆地或海洋表面的温度变化,而非我们通常关注的近地表气温。与海洋相比,陆地多变的地表条件和复杂的陆-气相互作用可能导致二者变化趋势的不同。因此,受地表微环境影响的重建的地表温度变化可能会表现出更强的区域性特征,这给跨区域以及代用指标与模型之间的温度比较带来了巨大挑战。
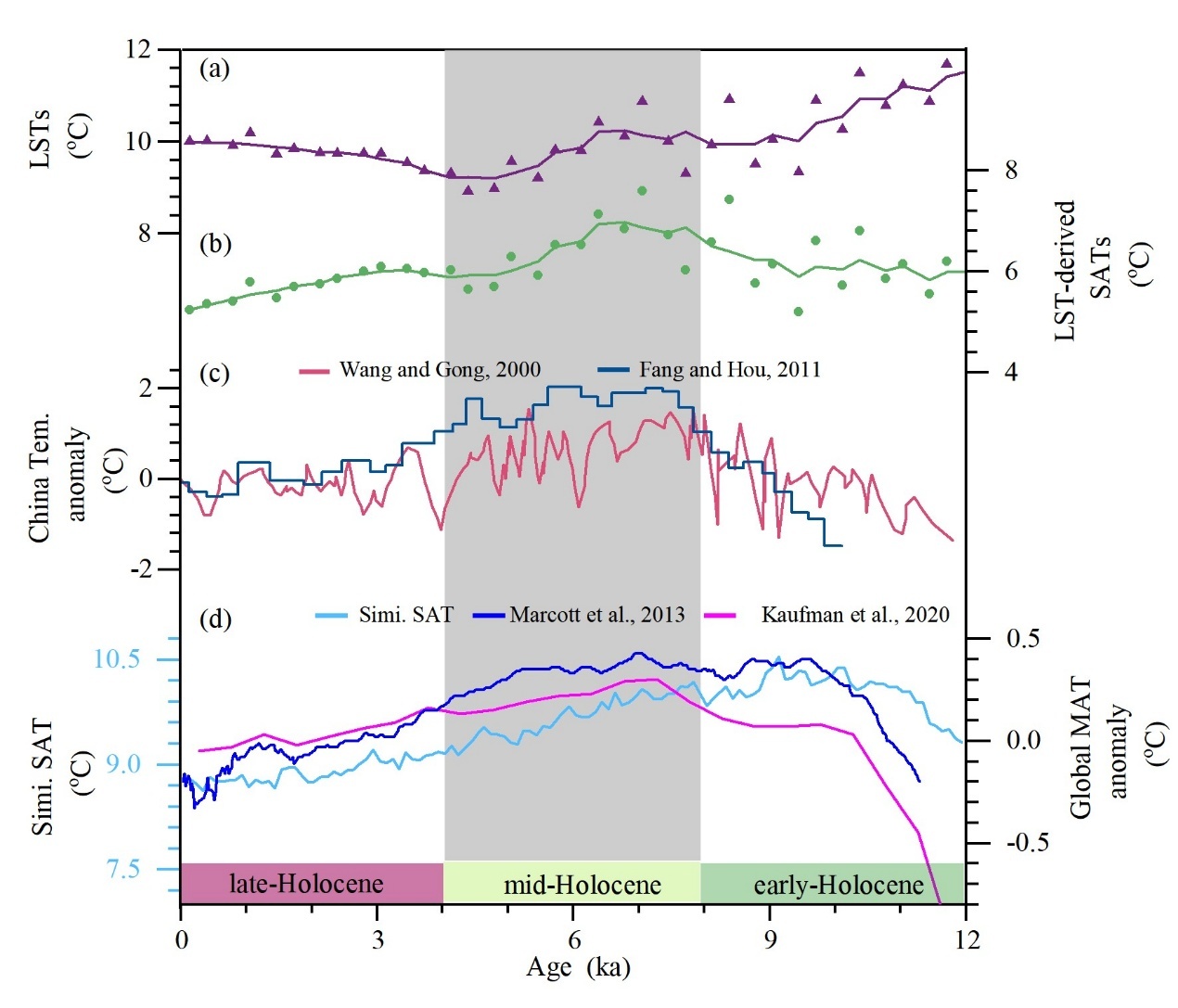
近期,我室“极端气候事件及影响”团队(EXCEIS),结合现代观测,古温度重建以及古气候模拟等技术手段,量化了植被对全新世地表和大气温度变化差异的影响,并提出了植被校正地表温度获取全新世气温的方法框架。研究者首先利用对温度敏感的细菌膜脂(brGDGTs)重建了黄土高原西部多哇剖面2.7万年以来的地表温度历史,发现该区域全新世整体呈降温趋势,这与现有气候模型的“中全新世大暖期”理论以及古土壤发育特征存在矛盾。接着通过现代气象数据,揭示了植被/土壤湿度是调节区域地表温度和大气温度差异的关键因素,并量化了这些影响(图1)。最后,根据现代过程结果,将区域过去的地表温度转化成大气气温。结果显示,气温在早全新世上升,中全新世达到最高,而晚全新世逐渐降温(图2)。这一三阶段模式与全球气候重建结果基本一致。本研究通过植被与水分反馈机制,调和了地表温度与气温趋势的分歧,对更好的阐明陆-气热力相互作用、优化古气候代用指标与模型的对比具有重要意义。
该研究在线发表在国际学术期刊Global and Planetary Change 上。卢红选副研究员和柳中晖研究员为共同通讯作者,刘卫国研究员和孙有斌研究员也做出了重要贡献。此项工作受到中国科学院以及国家自然科学基金委的共同资助。
Hongxuan Lu*, Weiguo Liu, Huanye Wang, Xingxing Liu, Zeke Zhang, Shugang Kang, Yitao Liu, Zheng Wang, Weijuan Sheng, Xu Liu, Youbin Sun, Zhonghui Liu*. 2026. Inferring Holocene air temperatures from vegetation-corrected land temperatures, Global and Planetary Change, 257, 105266. https://doi.org/10.1016/j.gloplacha.2025.105266

图1植被调控地表温度变化

图2 全新世地表温度和大气温度脱耦
附件下载: